Новости    Библиотека    Энциклопедия    Биографии    Ссылки    Карта сайта    О сайте


предыдущая главасодержаниеследующая глава

Опыты с ложкой бульона (В. Майер)

Набрав ложку хорошего мясного бульона, не спешите отправить ее в рот. Посмотрите внимательно на бульон - на его поверхности плавают крупные капельки жира. Заметьте размер этих капелек. Отлейте немного бульона из ложки обратно в тарелку и опять посмотрите на его поверхность - капельки жира расползлись, став больше в диаметре и меньше по толщине. Чем объясняется это интересное явление?

Рис. 49
Рис. 49

Прежде всего давайте выясним, при каких условиях капелька жира может находиться на поверхности бульона, не растекаясь. Посмотрите на рис. 49 - капля жидкости 2 (жира) лежит на поверхности жидкости 1 (бульона). Форма капли напоминает чечевицу. Сверху находится среда 3 - смесь воздуха с парами жидкостей 1 и 2. Три среды (1, 2 и 3) соприкасаются по окружности, ограничивающей каплю. Выделим малый элемент этой окружности (вблизи точки О на рис, 49) длиной Δl.

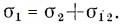
На него действуют три силы поверхностного натяжения. На границе раздела жидкостей 1 и 2 действует сила F12, направленная по касательной к границе раздела и равная по модулю


где σ12 - поверхностное натяжение на границе сред 1 и 2. Аналогичные силы F13 и F23 действуют на границах раздела сред 1, 3 и 2, 3:


и


Здесь σ13 и σ23 - соответствующие поверхностные натяжения.

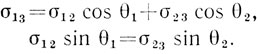
Очевидно, что капля будет находиться в равновесии, если сумма всех трех сил равна нулю:


или - в проекциях на оси координат X и Y (после подстановки соответствующих абсолютных значений и сокращения на Δl) -


(1)

Здесь θ1 и θ2 - углы между касательными к поверхности капли жидкости 2 и поверхностью жидкости 1, их называют краевыми углами.

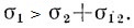
Из равенства (1) видно, что равновесие капли возможно в том случае, если поверхностные натяжения связаны определенным соотношением:


Поскольку поверхностные явления в жидкости мало зависят от присутствия над жидкостью газообразной среды, практически можно считать, что


Величины σ1 и σ2 называют поверхностными натяжениями жидкостей 1 и 2 соответственно; в нашем случае - это поверхностные натяжения бульона и жира.

Таким образом, капля жира будет плавать на поверхности бульона, не растекаясь, если поверхностное натяжение бульона меньше суммы поверхностных натяжений жира и границы раздела бульон - жир:


(2)

В частном случае, когда капля очень тонкая (почти плоская), углы θ1 и θ2 малы (θ1 = θ2 = 0) и условие равновесия капли имеет вид:


При


не существует значений углов θ1 и θ2, для которых выполнялось бы равенство (1). Это означает, что в этом случае жидкость 2 не собирается в каплю на поверхности жидкости 1, а растекается по ней тонким слоем.

Теперь постараемся объяснить результаты опытов с ложкой бульона. Капли жира плавают на поверхности бульона, значит, выполняется соотношение (2). Почему же при уменьшении количества бульона в ложке капли расплываются по его поверхности, увеличиваясь в размерах? Что при этом изменяется?

Рис. 50
Рис. 50

Предлагаем такое объяснение. Поверхностные натяжения жира σ2 и границы раздела бульон - жир σ12 остаются неизменными. Остается допустить, что при выливании части бульона из ложки изменяется поверхностное натяжение бульона σ1. Но бульон (в первом приближении) - это вода. Разве может измениться поверхностное натяжение воды, если уменьшить количество воды в сосуде? По-видимому, нет. Правда, бульон - это не просто вода, а вода, покрытая тонким слоем жира. Выливая из ложки бульон, мы выливаем и часть жира, так что толщина слоя жира, покрывающего бульон, уменьшается. Это, очевидно, и приводит к увеличению поверхностного натяжения бульона. В результате капли жира расползаются по поверхности бульона. Для проверки предлагаем вам самостоятельно провести такой опыт. В чистое блюдце (без следов жира) наберите чистой водопроводной воды. Тонкой пипеткой или трубочкой (можно использовать чистый стержень от шариковой авторучки) капните на поверхность воды чуть-чуть подсолнечного масла. Вы увидите, что первая капля полностью растечется по поверхности воды. Следующие капли уже не растекутся, а образуют чечевицы. Аккуратно вылейте часть воды - капли расползутся по ее поверхности.

Рис. 51
Рис. 51

В заключение вернемся еще раз к опытам с ложкой бульона. Внимательно наблюдая за поведением капелек жира, вы сможете заметить очень любопытные явления разрывов и восстановления капель.

Рис. 52
Рис. 52

На рис. 50-55 представлены фотографии результатов одного из таких экспериментов. В чистую стеклянную чашку мы налили водопроводной воды, подкрашенной синей тушью (не содержащей спирта). Слегка смоченной подсолнечным маслом стеклянной трубкой осторожно коснулись поверхности воды и получили восемь очень маленьких капель (см. рис. 50). Затем резиновой грушей отобрали немного воды из чашки - все капли увеличились в размерах. После следующей такой операции капли увеличились еще заметнее, при этом они несколько исказились по форме (из-за течения воды) и на них появились зародыши разрывов (см. рис. 51).

Рис. 53
Рис. 53

Все дальнейшие изменения происходили самопроизвольно, без постороннего вмешательства. Вначале разрывы в каплях росли, затем сливались в один большой разрыв - капля превращалась в кольцо. Наконец, это кольцо разрывалось и вновь стягивалось в каплю (см. рис. 52-55).

Рис. 54
Рис. 54

Не правда ли - действительно стоит понаблюдать за ложкой бульона, прежде чем отправить ее в рот!

Рис. 55
Рис. 55

предыдущая главасодержаниеследующая глава










© Злыгостев Алексей Сергеевич, подборка материалов, оцифровка, статьи, оформление, разработка ПО 2001-2019
При копировании материалов проекта обязательно ставить ссылку на страницу источник:
http://physiclib.ru/ 'Библиотека по физике'

Рейтинг@Mail.ru
Поможем с курсовой, контрольной, дипломной
1500+ квалифицированных специалистов готовы вам помочь