Новости    Библиотека    Энциклопедия    Биографии    Ссылки    Карта сайта    О сайте


предыдущая главасодержаниеследующая глава

Поверхностное натяжение чертит гиперболу (И. Воробьев)

Один из методов измерения коэффициента поверхностного натяжения жидкости основан на поднятии столбика смачивающей жидкости в капилляре. Однако не всегда под рукой имеются капиллярные трубочки и микроскоп для определения их внутреннего диаметра.

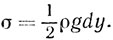
Оказывается, капилляры вполне можно заменить двумя стеклянными пластинками. Опустите пластинки в сосуд с водой и постепенно сближайте их параллельно друг другу. Вода поднимается между пластинками - ее втягивает сила поверхностного натяжения (рис. 45).

Рис. 45
Рис. 45

Легко рассчитать коэффициент поверхностного натяжения а по высоте подъема воды у и зазору между пластинками d. Сила поверхностного натяжения F = 2σL, где L - длина пластинки (двойка появилась из-за того, что вода соприкасается с обеими пластинками). Эта сила удерживает слой воды массы m = ρLdy, где ρ - плотность воды. Таким образом,


Отсюда можно найти коэффициент поверхностного натяжения


(1)

Но интереснее сделать так: с одного конца сжать пластинки вместе, а с другого оставить небольшой зазор (рис. 46). Вода поднимется и образует между пластинками удивительно правильную поверхность (конечно, если стекло чистое и сухое).

Рис. 46
Рис. 46

Нетрудно сообразить, что сечение этой поверхности вертикальной плоскостью - гипербола. В самом деле,

достаточно в формулу (1) вместо d подставить новое выражение для зазора в данном месте. Из подобия соответствующих треугольников (см. рис. 46) d = Dx/L. Здесь D - зазор на конце, L - по-прежнему длина пластинки, а x - расстояние от места соприкосновения пластинок до места, где определяется зазор и высота уровня. Таким образом,


или


(2)

Уравнение (2) действительно является уравнением гиперболы.

Для проведения опыта можно взять пластинки размером 10×20 см, зазор на конце установить в толщину спички, а в качестве сосуда использовать ванночку для проявления фотобумаги. Для удобства измерений на внешнюю сторону одной из пластинок наклейте миллиметровую бумагу.

Имея график, начерченный водой, можно проверить, действительно ли получилась гипербола. Для проверки воспользуйтесь тем, что площади всех прямоугольников под гиперболой (рис. 47) одинаковы.

Рис. 47
Рис. 47

Если у вас есть термометр для измерения температуры воды, то можно исследовать зависимость поверхностного натяжения от температуры. Можно также изучить влияние примесей.

В заключение подумайте над таким вопросом: сила поверхностного натяжения F направлена перпендикулярно линии соприкосновения воды со стеклом (рис. 48). Вертикальная составляющая этой силы уравновешена силой тяжести столбика воды. Чем же уравновешена ее горизонтальная составляющая?

Рис. 48
Рис. 48

предыдущая главасодержаниеследующая глава










© Злыгостев Алексей Сергеевич, подборка материалов, оцифровка, статьи, оформление, разработка ПО 2001-2019
При копировании материалов проекта обязательно ставить ссылку на страницу источник:
http://physiclib.ru/ 'Библиотека по физике'

Рейтинг@Mail.ru
Поможем с курсовой, контрольной, дипломной
1500+ квалифицированных специалистов готовы вам помочь